Gradient Descent with Momentum
보통 gradient descent보다 속도가 더 빠르다.
문제
Gradient descent는 최적의 길을 바로가지 못하고 zig-zag로 돌아가게 된다.

해결
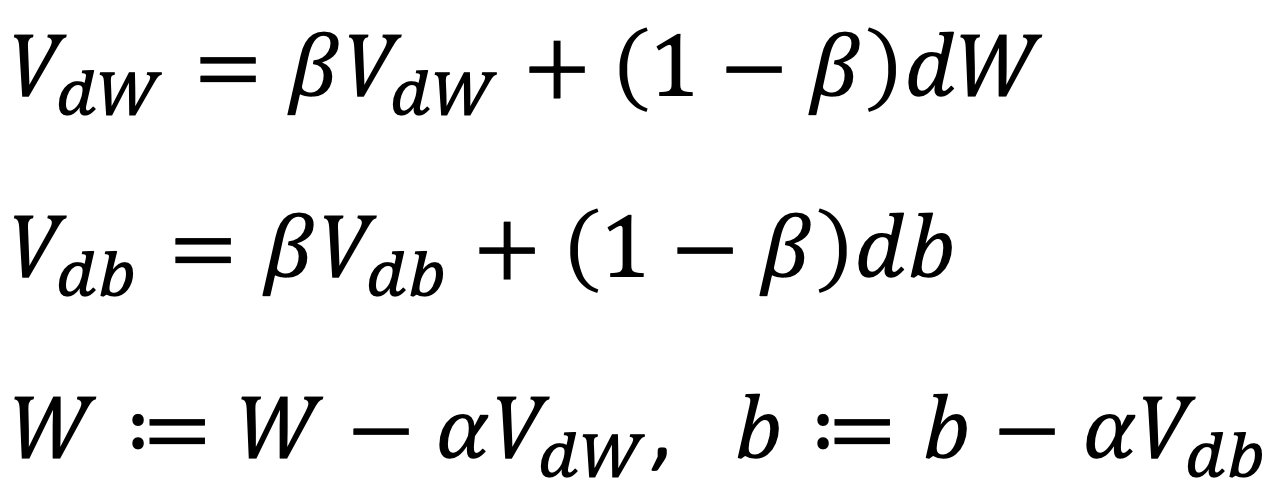
Gradient descent with momentum은 gradient에 smoothing을 건다.

Initial Gradient Problem
initial gradient 문제가 발생할 수 있다.
그러나 bias correction을 할 필요 없다.
주로 training iteration 수 (epoch)는 주로 크게 잡아서 초기값이 큰 영향을 주지 않기 때문이다.
'Computer Science > AL, ML' 카테고리의 다른 글
| [Optimization] Adam (0) | 2022.04.21 |
|---|---|
| [Optimization] RMSProp (0) | 2022.04.21 |
| [Optimization] Exponentially Weighted Average (0) | 2022.04.21 |
| Optimization (0) | 2022.04.21 |
| [Batch Normalization] Covariate Shift Problem (0) | 2022.04.21 |
댓글